发布时间:2023-02-10 10:03 原文链接: 中性红指示剂的合成方法

1.由N,N-二甲基对亚硝基苯胺盐酸盐与甲苯-2,4-二胺制取。

2.将二甲基苯胺加到5℃的盐酸水溶液中,搅拌使之溶解,然后边搅拌边加入亚硝酸钠水溶液进行反应,温度控制在5~10℃:

二甲基苯胺与亚硝酸钠反应二甲基苯胺与亚硝酸钠反应

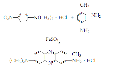
搅拌反应1H后,过滤,结晶对亚硝基二甲基苯胺盐酸盐用少量水洗涤后备用。将硫酸亚铁用90℃热水溶解,然后加入2,4-二氨基甲苯,充分搅拌溶解后,慢慢加入制得的对亚硝基二甲基苯胺盐酸盐,搅拌反应:

亚硝基二甲基苯胺盐酸盐与2,4-二氨基甲苯反应亚硝基二甲基苯胺盐酸盐与2,4-二氨基甲苯反应

1h后,补加适量盐酸,过滤。滤液中通入氯化氢气体,静置,待结晶完全后过滤,干燥,即为中性红成品。