发布时间:2022-06-13 16:14 原文链接: 卟啉的合成方法及过程介绍


早期的卟啉是从含有卟啉化合物的天然产物中通过提取、分离、纯化等方法得到的,如血红素、叶绿素等。有两种途径得到目标卟啉分子:天然卟啉的结构修饰和卟啉化合物的全合成。天然卟啉的结构修饰虽然能很方便地进行结构的改造,但是受到结构本身的限制,同时外环官能基团的选择上也十分有限,此外,也限制了卟啉化合物的本身生理活性。因此,通常人们需要通过全合成的办法,来获得具有特定生理活性和功能的卟啉分子。通过合成设计,获取不同种类和功能的卟啉化合物推进了卟啉化学的发展,扩宽了其应用前景。卟啉的合成方法归纳如下:

1.单吡咯的四聚合成

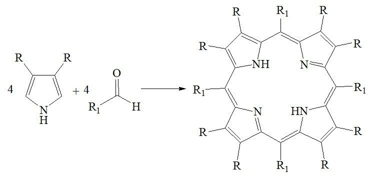
Alder-Longo法,用2,5-未取代的吡咯与提供桥联亚甲基的醛反应,得到具有对称性的卟啉,可用来合成meso-四取代的卟啉(如图1)。当改变取代基R和R1的种类,调整醛和吡咯的比例,可以合成多种对称和不对称的卟啉。

图1 Alder-Longo法

图1 Alder-Longo法

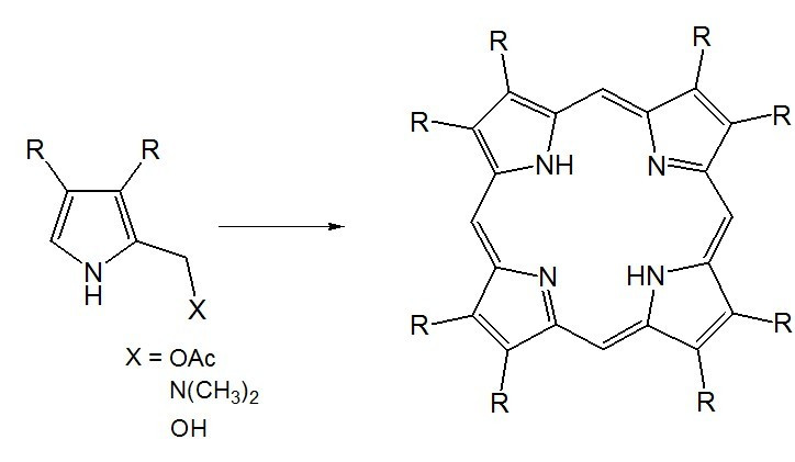
另一种单吡咯的四聚反应是以2-取代的吡咯为原料,能得到中心对称的(二种不同的取代基位于交替位置)的卟啉,又称为“head-to-tail”环缩合(如图2)。

图1 Alder-Longo法

图2 head-to-tail环缩合

图2 head-to-tail环缩合

2.二吡咯中间体的缩合

Fischer法:1-bromo-9-methyldipyrromethenes在200°C的有机酸(通常是采用丙酸)中自聚得到较高产率的卟啉(如图3)。

图3 Fischer法

图3 Fischer法

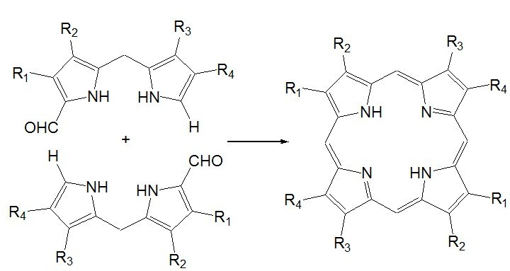
MacDonald法:1-unsubstituted-9-formyldipyrromethanes在酸催化剂(如氢碘酸或对甲基苯磺酸)下自聚(如图4)。因为二吡咯甲烷较易制备,这种合成方法应用较多。

图4 MacDonald法

图4 MacDonald法

3.“3+1”合成法

三吡咯化合物利用β-H和二甲酰基吡咯的醛基缩合(如图5)得到目标分子。

图5 3 +1 合成

图5 3 +1 合成

4.线性四吡咯环化

以1-bromo-19-methyl-a,c-biladienes为中间体的环化(如图6),直接缩合得到目标卟啉化合物。

图6 线性四吡咯环化

图6 线性四吡咯环化