上一篇文章,我们介绍了吸波材料的损耗型吸波机制,这类型的吸波材料通常需要控制内部损耗介质的类型及结构问题。在这一篇我们讲述结构型吸波机制。
结构型吸波材料主要是依靠相消原理【1】来吸收电磁波的。相位相消型吸波材料是按照电磁波的干涉原理来设计的。现以单层吸波材料为例加以说明。把吸波材料放置在金属基体上,当厚度和入射电磁波长的关系满足: 时,我们参看下图:

这
列平行的电磁波入射到吸波材料表面时,发生折射和反射。入射部分电磁波经底部金属板反射,再从吸波材料的表面形成出射波,且传播方向不发生变化。由于吸波材料的厚度是四分之一波长,所以出射波将和入射波的相位差正好是180度,波的干涉原理告诉我们此刻它们会发生完全相消,从而使得总反射波的发生大大衰减。这便是吸波材料的四分之一波长吸波原理。
吸波原理是一种很有效的微波吸收理论,利用这一原理,我们可以设计出任一频率电磁波的吸收材料。但事实上,我们还需考虑更深层次的问题,因为我们发现单凭这一原理是很难制造出实用的吸波材料。原因很简单,假设入射电磁波是1GHz频率的电磁波,根据公式,我们不难得到其波长为300mm,其四分之一是75mm,对于这么厚的吸波材料在绝大多数场合我们是很难应用的,且价格也是接受不了的。
这时我们不得不更深层次地讨论问题。
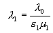
根据波的折射、反射原理,我们发现波的折射和反射系数跟空气和入射材料介质的性质有很大关系。假定空气的介电常数 和磁导率 为1,则可以得到1式:
----------------------------(1)
这时的 就是电磁波在介质中的实际传播波长。因此我们只需要控制材料的介电常数 和磁导率 ,使其乘积值大于1,就可以减少材料的厚度,制成我们实际可以应用的吸波材料。因而真正的吸波材料技术也就成了控制材料介电常数和磁导率的技术。
当吸波材料的有效厚度d 一定时, 则一定能吸收一定频率的波长,然而人们发现当波长发生变化时,吸波材料的总反射率就会急速上升, 使得这种吸波材料工作频带很窄。如“Salisbury screen”,这是一种单波段吸波材料,其吸波特性是在某一对应的中心频率有一强吸收峰,而这个有效吸波频带的宽度是很窄的。许多薄层吸波涂层以公式(1) 进行设计,同样干涉原理也可以用于结构吸波材料的设计。例如,在多层夹芯结构吸波材料(由复合面板、夹芯和衰减片组成) 中,控制衰减片(起主要的吸波作用) 的阻抗和衰减片之间的距离,使各次反射波相位相反,就可以产生相消干涉,从而衰减反射波的能量。
最后,我们不妨指明一下,对于任何材料的可应用性还包裹材料的物理和机械性能,吸波材料也不例外。对于这种有效性,人们的常用办法是在不同基体材料添加有效粒子成份的办法来制造吸波材料,因而吸波材料制造技术的研究实际上在研究填充粒子的种类、密度同使用电磁波频段的关系,辅以结构性和基材的研究以及在窄频和宽频应用时吸收能效考虑的综合的实验型技术。
参考文献:
[1]周馨我. 功能材料学. 北京:北京理工大学出版社,2002 :240
近日,青海盐湖研究所与西北工业大学联合研究团队在液态金属基吸波材料领域取得了重要进展,标志着我国在新一代电磁波吸收材料研制更上一层楼。相关论文发表于《先进科学》。随着电磁污染问题的日益严重和高端电子设......
安徽理工大学化学工程学院疏瑞文教授团队,合成了氮掺杂石墨烯/中空钴铁氧体复合气凝胶,可用于电磁辐射“污染”防护、电磁干扰屏蔽、军事隐身、隔热防火等领域。相关研究成果发表于《材料科学与技术》。超轻氮掺杂......
记者11月29日从青岛大学获悉,该校材料科学与工程学院以复合材料与工程专业2018级本科生齐广雨为第一作者、解培涛副教授为通讯作者、刘春朝教授为共同通讯作者在《先进化合物和杂化材料》上发表论文称,他们......
据俄罗斯塔斯社近日报道,俄罗斯托木斯克理工大学的科学家发明了一种快速制备氧化铁纳米粉末的方法。这种粉末能够几乎完全吸收电磁辐射,可用于加工军事装备并消除电磁干扰。据托木斯克理工大学动力工程学院的专家介......
吸波材料是能有效吸收入射电磁波、降低目标回波强度的一类功能材料。传统的吸波材料大多是基于Salisbury吸收屏原理设计,其典型不足是体积过大。随着通信、隐身等领域对吸波材料性能要求越来越高,传统吸波......