微波光子技术[1]是伴随着半导体激光器、集成光学、光纤波导光学和微波单片集成电路的发展而产生的一种新兴技术,是微波和光子技术结合的产物,它在射频(RF)信号的产生、传输和处理等方面具有潜在的应用前景。由于射频信号的光滤波技术具有可实现宽带可调谐滤波的功能,因而能够克服电子瓶颈、滤除强干扰信号等优势。现阶段国内外实验成功且已经取得很大进展的微波光子滤波器Q值可以达到983[2],带宽可以低到只有0.32MHz[3],边模抑制比可以高于40dB[4],调谐范围可以从34.1MHz调谐到34.1GHz[5]。由此可见全光可调谐滤波器等技术在通信等诸多领域具有重要的潜在应用价值。现在已通过在系统中引入全光滤波技术,突破了电子瓶颈的限制,滤除了混频器中的噪声[3],有望提高接受机的性能。
影响和限制光子滤波器性能的因素很多,比如线形度和动态范围、源的相干性、极化特性、正系数、FSR、噪声、可重构性和可调谐性.现在,微波光子滤波器的关键问题在于可调谐和负抽头的实现,因此本文着重以横向滤波器为例讨论可调谐和负抽头这两个方面的问题。
1、基本原理
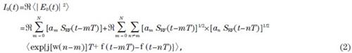
图1为使用单光源获得N个抽头的微波光子横向滤波器[3,6]原理图。利用多光源来实现的原理也大致相同。光载波exp{j[w+f(t)]}(w为载波频率,f(t)为相位)被射频信号SRF(t)所调制,调制后的信号经过耦合器分为N路,利用色散机制对1,2,…N路信号提供T,2T,…NT的时间延迟后,经过N路抽头而获不同时间延迟的信号由输出端的耦合器合并后得到最终的输出。探测器之前的光信号可表示为

式中am为第m个抽头的权重。由式(1)可以得到在微波光子滤波器的输出端探测到的光电流为

式中R为探测器的响应度,符号〈〉代表对时间取平均。借助于互相干函数运算,(2)式中对时间求平均的项(记作Gmn)有

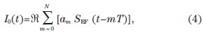
式中Dn为光源线宽,它是光源相干时间tcoh的倒数。(2)式的第一项为非相干项对光电流的贡献,第二项为相干部分的贡献。如果要滤波器工作在非相干条件下,只需光源的相干时间tcoh远远小于基本延迟时间差T,此时(即非相干条件下)光电流的表达式为

于是,从(4)式中可以得到滤波器的冲击响应为:

对(5)式作傅里叶变换,最终可以得到传输函数电频率响应的表达式为

从(6)式可以看出,滤波器的性能由滤波器级数N(实现Q值和带宽的改变)、加权系数am(实现重构,滤波器的形状系数的改变,通过使用衰减器可以容易实现)以及延迟时间T(实现中心频率和FSR改变)决定。
1.1、可调谐性的实现
实现可调谐的重要思路之一为:通过改变滤波器的结构参数或者外界所施加的物理参数的方法改变延迟时间,从而使滤波器的中心频率变化或自由光谱范围变化,进而实现可调谐。
目前,改变延迟时间的技术主要有:
1)直接改变光程来改变延迟时间,现阶段主要有两种方法:(a)使用控制传输路径的开关(延迟线开关)[7,8]方法,通过使用空间光开关的方法来为光信号选择不同的路径,使之获得不同的基本传输延迟。图2所示为一个开关色散矩阵的延迟单元示意图,由于光信号通过不同的色散介质的时间不同,可以通过选择光开关来选择色散介质的方法控制延迟时间,这样就达到了可调谐的功能。目前这种方法实验调谐范围最高可以从8.07GHz调谐到9.22GHz;(b)使用可调谐光纤延迟线的方法,利用可调谐光纤延迟线直接改变光信号传输路径的长度,这样提供了不同的传输延迟,可以持续调谐。D.Chen等[9]通过调谐可调谐光纤延迟线120mm,其中心频率的改变量便可以覆盖微波器的自由频程约7.1MHz。现在商用的可调谐光纤线可调精度达到3μm(约为15fs),可调范围168mm,可以满足滤波器可调谐的需求。
该技术实现方法比较简单,实现的调谐过程简便,但该技术的调谐功能往往需要引入特殊的器件,这样使系统的复杂度提高,器件的要求以及成本相应也就提高了。
2)波长可调谐光源结合光色散介质,如标准的光纤、高色散光纤———通常为色散补偿光纤、光纤光栅或者线性啁啾布拉格光栅等[4,10~19]。
其实现方式有:
(a)利用一个或多个波长可调谐光源,典型结构如图3所示,滤波器采用可调谐激光阵列。由于啁啾光纤光栅(FBG)对于不同波长的光载波具有不同的反射点,不同波长的光载波经历的路程不同,导致各光载波在光纤中的延时也就改变了,从而实现可调谐。使用可调谐激光器可以进行快速方便的调谐,同时使用多波长的可调谐光源,通过控制各光信号的权重便可以得到较高的抑止比,抑比可以超过20dB[10]。由于引入啁啾光纤光栅或者激光器阵列,所以系统制作的复杂度和成本均会增加。使用这种方法其调谐范围可以达到150MHz;
(b)利用分割宽带光源的方法,其结构如图4所示。这种滤波器利用可调谐的马赫曾德尔干涉仪(MZI)对宽带光源进行切割来获取多个光载波信号[5]。MZI结构可以作为梳妆滤波器,通过控制光学可调谐延迟线改变两臂的光程差来控制透过滤波器的光载波的间距,对宽带光源进行频谱分割。滤出来的光经过光电调制器进行振幅调制后,输入一定长度的单模光纤。由于不同波长光载波在光纤中有不同的延时,因此经光电探测器叠加接收后可实现微波滤波。目前使用分割宽带光源的方法其调谐范围可以从34.1MHz调谐到34.1GHz,其调谐范围比较大,而且只需要较便宜的光器件便可解决。
如果当波长的间隔和马赫曾德尔滤波器输出的单个载波的带宽相比足够大,则可以排除环境的影响,避免了相干时间限制。尽管可以通过可调谐光纤延迟线对通带中心频率进行调谐,但是随着通带中心频率的增大,其3dB带宽也会呈严重的增长趋势,而且一般宽带光源比如掺铒光纤激光器(EDFL)、放大自发辐射(ASE)激光器,它们的噪声比较大,在实际应用中也会有一定的影响。
3)使用可调谐的色散器件。通过使用激励源作用在色散介质上以改变色散介质的色散[3]。固定的光源和新颖的可调谐色散介质[20~23]结合能提供持续的可调谐,但是在时间和改变色散的准确性上不容易控制。典型的结构如图5所示,其中的可调谐延迟器件———可调谐色散器件是一个由磁性材料控制的啁啾光栅组成的,磁性材料的磁场通过给一段螺线管加电流而产生并控制。一个5cm长的光纤光栅固定到一个磁致伸缩棒上然后放到一段磁性螺线管里。磁致伸缩介质的长度与所加电流而形成的磁场大小成一定的比例关系,因此当不同的电流加在螺线管上时,光纤光栅会表现出不同的色散。这样通过控制电流便可以控制光栅的色散,从而得到不同的延迟时间进而实现可调谐的功能。通过改变磁场这种可调谐色散器件的延迟时间和波长的比值可以在300~900ps/nm之间变化。如图5所示使用电光调制器使射频信号调制到多个光载波上,然后通过受磁场控制的光纤布拉格光栅使不同的光信号得到不同的延迟。目前使用可调谐色散介质的方法得到的调谐范围可以达到1GHz。
南京大学电子学院超导电子学研究所研究团队研制出一种完全集成且直流电驱动的超导微波频率梳信号源,易于制造和操作,且能耗极低,有望成为片上集成量子芯片的关键信号源,从而推动超导量子科技的发展。这项研究在国......
法国国家科学院里昂高等师范学院的科学家最近开发出了首个基于微波的量子雷达,其性能比现有传统雷达高20%,实现了所谓的“量子优越性”。相关研究发表于最新一期《自然·物理学》杂志。最新研究负责人之一本杰明......
日前,中国科学技术大学中科院微观磁共振重点实验室杜江峰、石发展、孔飞等人在微波磁场测量领域取得重要进展,基于金刚石氮-空位色心量子传感器实现了皮特斯拉水平的高灵敏微波磁场测量,相比此前该体系实现的亚微......
星载微波散射计是获取海面风场的有效传感器。在40余年的海面风场遥感观测历史中,实现微波散射计观测的海面后向散射系数与海面风场映射的经验模型:地球物理模型函数(GMF)得到了长足发展。然而在遥感场景中,......
——Intertek(天祥)上海实验室经理孙慧女士专访分析测试百科网讯中国第三方检验检测行业市场近年来持续快速增长,预计到2026年有望突破2500亿元。回望历史,将第三方检测的概念引入到中国并推动行......
微波是人类观察世界的另一只“眼睛”,利用微波遥感技术可以测绘人类难以涉足地区的地形地貌、探索广袤神秘的宇宙太空。随着人类对未知世界探索的不断深入,经典微波测量方法在探测灵敏度和测量精确度方面都已经无法......
放在电炉上赶,看你需要测得元素,一般的可设置到160~200℃,砷、汞等易挥发元素的话要再设置的温度低点.一般来说赶到还有一毫升左右就可以把电炉关了,用余热赶至湿盐状,然后就可以转移定容了.另外可以加......
准确监测方舱医院大量感染患者的生命状况,精确“诊断”大桥工程结构是否存在安全隐患,随时随地获取独居老人在家的健康体征……上海交通大学彭志科教授团队研发的基于微波感知的微动监测与环境智能前瞻技术,像一种......
“微波”的发现和应用使人类走向太空;如果将“微波能”应用到电镀污水的处理上将会产生如何的效应呢?回答是:将会使“表面工程”在经济发展的大潮中独领风骚。但是微波也有其两面性,如“微波”它对蛋白质(细胞质......
电动汽车的心脏是由电池或燃料电池驱动的电动机。随着电动汽车需求的增加,对高品质电池的需求也不断提高。锂离子电池作为电池技术发展的首选,其正极材料是决定电池性能的关键部件之一。LiFePO4同时具有优越......