发布时间:2023-01-30 10:55 原文链接: 法拉第效应的实验方法

法拉第效应是磁场引起介质折射率变化而产生的旋光现象,实验结果表明,光在磁场的作用下通过介质时,光波偏振面转过的角度(磁致旋光角)与光在介质中通过的长度L及介质中磁感应强度在光传播方向上的分量B成正比,即: [2] 

θ=VBL

式中V称为费尔德常数,它表征物质的磁光特性。几种材料的费尔德常数值如下表。

法拉第效应实验装置如图所示。由光源产生的复合白光通过小型单色仪后可以获得波长在360~800nm的单色光,经过起偏镜成为单色线偏振光,然后穿过电磁铁。电磁铁采用直流供电,中间磁路有通光孔,保证人射光与磁场B方向一致。根据励磁电流的大小可以求得对应的磁场值。入射光穿过样品后从电磁铁的另一极穿出人射到检偏器上,透过检偏器的光进入光电倍增管,由数显表显示光电流的大小,即出射光强的大小。根据出射光强最大(或最小)时检偏器的位置读数即可得出旋光角。检偏器的角度位置读数也由数显表读出。

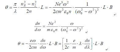
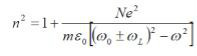
由经典电子论对色散的解释可得出介质的折射率和入射光频率w 的关系为:

式中ω0是电子的固有频率,磁场作用使电子固有频率改变为(ωL±ω0)(ωL是电子轨道在外磁场中的进动频率)。使折射率变为:

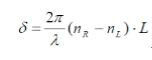
由菲涅耳的旋光理论可知,平面偏振光可看成由两个左、右旋圆偏振迭加而成,上式中的正负号反映了这两个圆偏振光折射率有差异,以R n 和L n 表示。它们通过长度为L的介质后产生的光程差为:

由它们合成的平面偏振光的磁致旋光角为:

通常,nR,nL,和n,相差甚微,故

将此代入上式,又因ωL≪ω可略去ωL项,得:

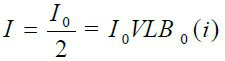
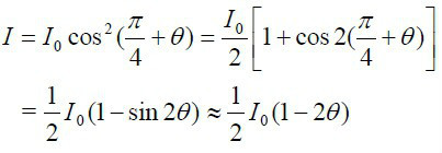
可见括号项即为费尔德常数,表示V 值和介质在无磁场时的色散率、入射光波长等有关。由马吕斯定律可知,平面偏振光通过磁场中的介质和检偏器后的光强为:

α为检偏器和起偏器透光轴的夹角,θ为法拉第磁致旋光角。当α=π/4时,

若磁场变化则:

表示此时由检偏器输出的光强将随产生磁场的电流i(调制电流)线性地变化,这就是光强度的磁光调制原理。在α=π/4时,dI/d= 1,即此时调制系统的信号检测灵敏度最高,失真最小。