发布时间:2023-01-12 07:47 原文链接: 离子交换的理论基础

① 多相化学反应理论假定离子A1与A2之间有如下的交换反应:

离子交换离子交换

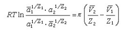
②膜平衡理论 认为树脂表面相当于半透膜, 所交换的离子能自由通过;而连接在树脂骨架上的离子不能通过。按照F.G.唐南膜平衡原理,可得出格雷戈尔公式:

离子交换离子交换