原文地址:http://www.cas.cn/syky/202103/t20210324_4782103.shtml
20世纪30年代,著名物理学家Bloch研究电子在晶格中运动时发现:晶格周期性势场中的电子在恒定外场的作用下并不会无限制地自由传输:从动量空间看,当电子运行到布里渊区边界时,会在晶格周期性势场中发生散射,动量由
变为
,即从布里渊区一端穿出,从另外一端再穿入,该现象后来被称作Bloch振荡。与之对应,在实空间中电子被束缚在一定区域内振荡而发生局域化,称为Wannier-Stark局域化。这些现象显示了电子的量子波动性,但是由于在一般固体材料中,电子的相干时间很短,所以较难观测到电子在固体晶格中Bloch振荡和Wannier-Stark局域化。直到1990年左右,科学家在半导体超晶格中才观测到电子的Bloch振荡,但是半导体中电子本征的弛豫过程仍限制了对该现象的进一步研究。近年来,随着量子技术的发展,在“人造量子体系”中研究该现象成为可能,包括光晶格中的冷原子和光子波导阵列。
集成有多个量子比特的超导处理器是实现大规模量子计算的重要方案之一,由于其每个量子比特可独立程序化调控,不同量子比特可通过谐振腔产生纠缠,易于实现由单比特和多比特逻辑门构成的量子线路,从而实现通用量子计算。此外,超导量子处理器本身的哈密顿量可以直接对应特定的量子系统,可研究不同物理的量子模拟,利用此平台研究布洛赫震荡和瓦尼尔-斯塔克局域现象具有重要意义。
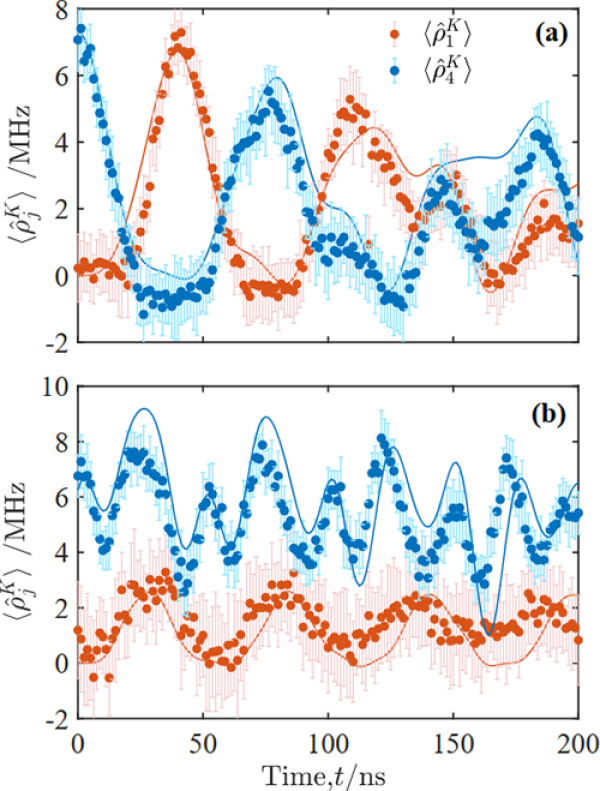
中国科学院物理研究所/北京凝聚态物理国家研究中心超导实验室和固态量子实验室近年来在超导量子计算与量子模拟方向取得系列进展。近期,博士后郭学仪,博士生葛自勇及研究员郑东宁、范桁等,在超导量子处理器上开展对布洛赫振荡和Wannier-Stark局域化的模拟研究。科研人员使用了5比特超导量子芯片,并用这5个超导量子比特构建了一个一维晶格,通过调节格点上比特的能级间隔呈线性排布,等效构造了恒定外场作用。实验中观测微波光子在此一维晶格上的传输,通过将等效外场强度从小到大调节,微波光子从可以自由传输到局域在一端振荡,出现了明显的局域化现象。进一步,他们通过对所有量子比特的同时测量读出,测量了在一维晶格中热的传输。相似地,随着外场强度从小到大变化,热的传输也出现了局域化现象。
相关研究成果发表在npj Quantum Information上, 合作者包括副研究员许凯和宋小会、研究员吕力、博士相忠诚,北京量子信息科学研究院研究员金贻荣,浙江大学博士李贺康(物理所2019年博士毕业生)等。
此外,许凯、郑东宁和范桁与福州大学副教授杨贞标、郑仕标团队合作,在超导量子计算平台实现了通用量子克隆机。量子信息的非克隆原理表明,任意量子态不能被确定的量子线路准确克隆,但可达到一定的保真度。过去的量子克隆演示大多是几率型或不涉及量子纠缠大小的测量,此次实验补足了这两个重要元素,保真度接近理论上限(npj Quantum Information 7, 44 [2021])。

图1.实验所用的超导量子芯片光学显微镜照片和实验脉冲序列图

图2.微波光子在外场从小到大调节下(从左到右)传输受限,局域在最左端附近振荡

图3.局域长度和所加外场强度的关系

图4.热传输在不加外场(a)和加外场(b)时的实验结果

图5.通用量子克隆逻辑门线路
原文地址:http://news.sciencenet.cn/htmlnews/2023/11/512526.shtm11月16日,在深圳举行的“2023企业科技创新发展论坛”上,中国知识产权研究会正......
原文地址:http://news.sciencenet.cn/htmlnews/2023/11/512521.shtm11月17日,国家重大科技基础设施高能同步辐射光源(HEPS),成功实现电子束升能......
原文地址:http://news.sciencenet.cn/htmlnews/2023/11/512520.shtm正在深圳举行的第二十五届高交会上,记者在中国科学院专馆看到,由中国科学院控股有限公......
原文地址:http://news.sciencenet.cn/htmlnews/2023/11/512519.shtm......
原文地址:http://news.sciencenet.cn/htmlnews/2023/11/512518.shtm......
原文地址:http://news.sciencenet.cn/htmlnews/2023/11/512517.shtm近日,第七届中关村国际前沿科技大赛华东赛区决赛在安徽合肥·中安创谷全......
原文地址:http://news.sciencenet.cn/htmlnews/2023/11/512516.shtm11月17日,国际顶级期刊《科学》在线发表南开大学最新研究成果。该研究表述了全金属......
原文地址:http://news.sciencenet.cn/htmlnews/2023/11/512510.shtm......
原文地址:http://news.sciencenet.cn/htmlnews/2023/11/512505.shtm近日,中国农业科学院都市农业研究所联合农业环境与可持续发展研究所等科研机构,系统阐......
原文地址:http://news.sciencenet.cn/htmlnews/2023/11/512498.shtm11月17日,中国科学院大气物理研究所研究团队在《大气科学进展》(Advances......