From this equation the exchange current density can be calculated when Rct is known.
Diffusion
Diffusion also can create an impedance called a Warburg impedance. The impedance depends on the frequency of the potential perturbation. At high frequencies, the Warburg impedance is small since diffusing reactants don't have to move very far. At low frequencies, the reactants have to diffuse farther, increasing the Warburg-impedance.
The equation for the "infinite" Warburg impedance is:
(23)
On a Nyquist Plot the Warburg impedance appears as a diagonal line with an slope of 45°. On a Bode Plot, the Warburg impedance exhibits a phase shift of 45°.
In equation 23, σ is the Warburg coefficient defined as:

(24)
In which,
ω | = radial frequency |
DO | = diffusion coefficient of the oxidant |
DR | = diffusion coefficient of the reductant |
A | = surface area of the electrode |
n | = number of electrons involved |
This
form of the Warburg impedance is only valid if the diffusion layer has
an infinite thickness. Quite often, however, this is not the case. If
the diffusion layer is bounded (as in thin-layer cell or coated
samples), the impedance at lower frequencies no longer obeys the
equation above. Instead, we get the form:
(25)
with,
δ | = Nernst diffusion layer thickness |
D | = some average value of the diffusion coefficients of the diffusing species |
This more general equation is called the "finite" Warburg. For high frequencies where ω→∞, or for an infinite thickness of the diffusion layer where δ→∞, tanh(δ(jω/D)½)→1 and equation 23 simplifies to the infinite Warburg impedance. Sometimes these equations are written in terms of an admittance parameter, Y0=1/(σ√2) . See Table 3.
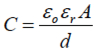
A capacitor is formed when two conducting plates are separated by a non-conducting media, called the dielectric. The value of the capacitance depends on the size of the plates, the distance between the plates and the properties of the dielectric. The relationship is,
(26)
With,
εo | = permittivity of free space (NIST defines it as it the “electric constant”) |
εr | = dielectric constant (relative electrical permittivity) |
A | = surface of one plate |
d | = distances between two plates |
Whereas the permittivity of free space is a physical constant, the dielectric constant depends on the material. Table 2 gives you some useful er values.
Table 2. Typical Dielectric Constants
Material | εr |
vacuum | 1 |
water | 80.1 (20°C) |
organic coating | 4 - 8 |
Notice the large difference between the dielectric constant of water and that of an organic coating. The capacitance of a coated substrate changes as it absorbs water. EIS can be used to measure that change.
Constant Phase Element
Capacitors in EIS experiments often do not behave ideally. Instead, they act like a constant phase element as defined below.
The impedance of a capacitor can be expressed as:
(27)
where,
Y0 | = C = The capacitance |
α | = An exponent equaling 1 for a capacitor |
For a constant phase element, the exponent α is less than one. The "double layer capacitor" on real cells often behaves like a CPE, not a capacitor. While several theories (surface roughness, “leaky” capacitor, non-uniform current distribution, etc.) have been proposed to account for the non-ideal behavior of the double layer, it is probably best to treat α as an empirical constant with no real physical basis.
Virtual Inductor
The impedance of an electrochemical cell sometimes also appears to be inductive. Some workers have ascribed inductive behavior to the formation of a surface layer, like a passive layer or fouling. Others have claimed that inductive behavior results from errors in the measurement, including potentiostat non-idealities.
In the following section we show some common equivalent circuits models. These models can be used to interpret simple EIS data. Many of these models have been included as standard models in the Gamry Electrochemical Impedance Spectroscopy Software.
The elements used in the following equivalent circuits are presented in Table 3. Equations for both the admittance and impedance are given for each element.
Table 3. Circuit Elements Used in the Models
Equivalent Element | Admittance | Impedance |
R | 1/R | R |
C | jωC | 1/jωC |
L | 1/jωL | jωL |
W (infinite Warburg) | Y0√(jω) | 1/Y0√(jω) |
O (finite Warburg) | Y0√(jω)Coth(B√(jω)) | Tanh(B√(jω))/Y0√(jω |
Q (CPE) | Y0(jω)α | 1/Y0(jω)α |
The dependent variables used in these equations are R, C, L, Yo, B, and α. The EIS software uses these as fit parameters.