发布时间:2018-03-06 14:02 原文链接: 专注于拉曼光谱分析相关产品及应用技术的开发!

什么是拉曼



光照射到物质上发生弹性散射和非弹性散射. 弹性散射的散射光是与激发光波长相同的成分,成为瑞利散射;非弹性散射的散射光有比激发光波长长的和短的成分, 称为拉曼散射(斯托克斯及反斯托克斯拉曼散射)。拉曼散射大约只占散射光的千万分之一,这些散射散布到四面八方,而且它们的波长和偏振态都会发生改变。


拉曼效应是光子与光学支声子相互作用的结果,源于分子振动(和点阵振动)与转动,因此从拉曼光谱中可以得到分子振动能级(点阵振动能级)与转动能级结构的信息。


斯托克斯拉曼散射光子能量比瑞利散射光子能量弱,即斯托克斯拉曼散射光的波长比瑞利散射光的波长长;而反斯托克斯拉曼散射光子具有更高的能量。反斯托克斯谱线强度比斯托克斯谱线强度弱得多,这是因为只有处于振动激发态的分子引起的辐射才能产生反斯托克斯谱线。相对来说,在拉曼实验中,斯托克斯谱线更容易被测量到。


几种常见的拉曼技术



共振拉曼(RRS)

如果激光的波长和分子的电子吸收相吻合,这一分子的某个或几个特征拉曼谱带强度将增至100-10,000 倍以上,并观察到正常拉曼效应中难以出现的、其强度可与基频相比拟的泛音及组合振动光谱。这种共振增强或共振拉曼效应非常有用,不仅能显著降低检测限,而且可引入电子选择性。由于共振拉曼能提供结构及电子等信息,因此,共振拉曼也被用于物质鉴

定。


紫外共振拉曼(UVRRS)

荧光干扰问题和灵敏度较低严重阻碍了常规拉曼光谱的广泛应用。但近年来发展起来的紫外拉曼光谱技术有效地解决了上述问题。紫外拉曼光谱技术的出现和发展大大地扩展了拉曼光谱的应用范围。右图是紫外拉曼光谱避开荧光干扰的原理图。荧光往往出现在300 nm-700 nm 区域,或者更长波长区域。而在紫外区的某个波长以下,荧光极少出现。因此,对于许多在可见拉曼光谱中存在强荧光干扰的物质,例如氧化物、积碳等,通过利用紫外拉曼光谱技术就可以成功的避开荧光从而得到信噪比较高的拉曼谱图。从下图磷酸铝分子筛ALPO-5 示例可以看出,紫外共振拉曼光谱技术由于能避开荧光,可以成功用于微孔和介孔分子筛材料的表征。



紫外拉曼光谱技术的另一个突出特点是,拉曼信号可以通过共振拉曼信号得到增强。共

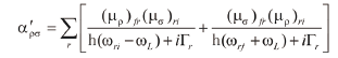
振拉曼效应可以从拉曼散射截面公式得到解释:根据Kramers-Heisenberg-Dirac 散射公式:



在公式 (1) 中,ωri 是初始态i 到激发态r 的能量差频率,ωL 是入射激光频率。当激发光源频率靠近电子吸收带时,第一项分母趋近于零,因而其散射截面异常增大, 导致某些特定的拉曼散射强度增加倍。共振拉曼光谱的谱峰强度随着激发线的不同而呈现出与普通拉曼不同的变化。


将紫外共振拉曼用于表征多组份体系时,可以选择性的激发某些组分相应的信息,从而使与这些组分相关的拉曼信号大大增强,得到共振拉曼光谱.



这种共振增强或者共振拉曼效应是非常有用的一个技术,它不仅可以极大的降低拉曼测量的探测极限,而且还可以引入到电子选择上面。这样,如果我们使用共振拉曼技术来研究样品,不仅可以看到它的结构特征,而且还可以得到它的电子结构信息。金属卟啉,类胡萝卜素以及其他一系列生物重要分子的电子能级之间跃迁能量差都处在可见光范围之内,这使得它们成了共振拉曼光谱的理想研究材料。



共振选择技术还有一个非常实际的应用。那就是二分之一载色体的光谱由于这种共振作用会得到增强,而它周围的环境则不会。对于生物染色体来说这就意味着,我们使用可见光即可特定的探测到有源吸收中心,而它们周围的蛋白质阵列则不会对探测产生影响(这是因为这些蛋白质需要紫外光才能使其产生共振增强作用)。共振拉曼光谱在化学上探测金属中心合成物,富勒分子,联乙醯以及其他的稀有分子上也是一种重要的技术,因为这些材料对于可见光都有着很强的吸收。


其他更多的分子吸收光谱由于处于紫外,所以需要紫外激光进行共振激发,我们就称之为紫外共振拉曼(UlraViolet Resonance RamanSpectroscopy); 紫外共振拉曼光谱技术是研究催化和复杂生物系统中分子分析的一个重要工具。大多数的生物系统都吸收紫外辐射,所以它们都能提供紫外的共振拉曼增强。这样高的共振拉曼共振选择效应使得像蛋白质和DNA 等重要生物目标的拉曼光谱得到极大增强,而其他物质则不会,非常便于目标确认及分析。例如,200nm 的激发光能够增强氨基化合物的振动峰;而220nm 的激发光则可以增强特定的芳香族残留物的振动峰。水中的拉曼散射非常弱,这个技术使得与水有关的微弱系统的拉曼分析也变成了可能。


金属卟啉、类胡萝卜素以及其他几类重要的生物分子在可见光区域内有强烈的电子跃迁,因此他们成了理想的共振拉曼光谱检测对象。


表面增强拉曼(SERS)

自1974 年Fleischmann 等人发现吸附在粗糙化的Ag 电极表现的吡啶分子具有巨大的拉曼散射现象,加之活性载体表面选择吸附分子对荧光发射的抑制,激光拉曼光谱分析的信噪比大大提高,这种表面增强效应被称为表面增强拉曼散射(SERS)。


拉曼散射由化合物(或离子)的散射吸附,或在结构化金属表面,可达到溶液中散射的103 倍到106 倍。这种表面增强拉曼散射在银表面表现得最强,在金或铜表面也比较强。其他金属则没有这么强的增强效应。


表面增强效应产生的两个机制:

第一种是在贵金属表面产生一种增强的电磁场。当入射光的波长接近金属等离子体波长时,金属表面传导电子被激发到一个扩展表面的电子激发态,称为表面等离子体共振。分子吸附在表面或接近表面经过一个异常大的电磁场。垂直于表面的振动模式带来的增强最强烈。


第二种是是在表面和分析物分子之间形成电荷转移络合物。许多电荷转移络合物带来的电子跃迁会产生可见光,以便发生增强谐振。


显微共聚焦拉曼(Confocal)

共焦:从一个点光源发射的探测光通过透镜聚焦到被观测物体上,如果物体恰在焦点上,那么反射光通过原透镜应当汇聚回到光源,这就是所谓的共聚焦,简称共焦。共焦指的是空间滤波的能力和控制被分析样品的体积的能力,通常是利用显微镜系统来实现的。只有显微镜系统的无限远光路才可以实现良好的共焦性能。


显微拉曼光谱技术是将拉曼光谱分析技术与显微分析技术结合起来的一种应用技术。与其他传统技术相比,更易于直接获得大量有价值信息,共聚焦显微拉曼光谱不仅具有常规拉曼光谱的特点,还有自己的独特优势,样品区接近衍射极限(约1 微米);成像和光谱可以被组合以产生“拉曼立方体”三维数据,在二维图像的每个像素对应一个拉曼频谱信息。


从光学结构来说,显微共聚焦拉曼光谱仪主要有针孔共聚焦和“狭缝-CCD”共聚焦两种设计结构。


先进的“狭缝+CCD 焦平面共焦”技术,具有较高通光效率,高灵敏度,操作简单。


原理:显微镜头聚焦到样品上,将显微镜头收集的样品信号聚焦到光谱仪狭缝入口,通过狭缝对焦平面的一维(X 方向)限制进入光谱仪;经光谱仪分光,光谱成像在CCD 上;在通过对CCD 上像元的提取,对另一维(Y 方向)的信号的限制,提取出样品上的信号,实现共焦作用。



“狭缝+CCD 焦平面共焦”技术特点:

1、 共焦区域任意设置(狭缝宽度,CCD 像元区域任意设定)。

2、 全部信号进入光谱仪,没有信号损失。采用“狭缝+CCD焦平面共焦”技术的Finder Vista(“微曼”共聚焦拉曼显微镜)


相关文章

重磅发布|奥谱天成推出ATR8800高端拉曼光谱深度定制解决方案

奥谱天成自主研发的ATR8800系列高分辨显微拉曼光谱仪,自发布以来,凭借卓越的光谱分辨率、稳定的系统性能与优秀的信噪比表现,已在材料科学、生物医药、化学分析、新能源等领域获得广泛应用与高度认可。在结......

BCEIA2025巅峰对话|奥谱天成打破技术壁垒,让中国光谱技术走向世界

2025年9月10日至12日,第二十一届北京分析测试学术报告会暨展览会(BCEIA2025)在北京中国国际展览中心顺义馆盛大举行。本届展会以“辉煌四十载 再谱新篇章”为主题,吸引了众多分析测......

从代理之殇到技术之光:贝拓科学重构材料分析仪器格局

——广州贝拓科学有限公司联合创始人梁世健总经理专访当跨国巨头一纸通知终止代理合同时,这家华南代理商90%的业绩瞬间归零——广州贝拓科学却用十年时间完成了从"濒死代理商"到"......

布鲁克光谱:高速高质量成像让“光谱之眼”识别万物

光谱技术作为近代光学计量的重要分支,具有非接触、范围广、多组分、灵敏度高、可连续实时监测等优势,已广泛应用于深空探测、环境监测、航空航天、精准医疗、智慧农业等诸多领域。为了推动光谱技术的应用与融合,中......

各向异性层状材料角分辨偏振拉曼光谱定量预测研究获进展

近日,中国科学院半导体研究所谭平恒团队基于对各向异性层状材料黑磷(BP)、Td相二碲化钨(Td-WTe₂)的研究提出一项新理论,任意衬底上的各向异性层状材料,其角分辨偏振拉曼强度(ARPR)都可以通过......

基于表面增强拉曼光谱技术的免疫层析传感研究取得进展

血栓调节蛋白(TM)是反映内皮功能障碍的关键生物标志物,但当前尚缺乏简便且快速的检测手段。例如,基于常规金纳米颗粒(AuNPs)的比色免疫层析法(ICA)因灵敏度不足,无法实现对痕量生物标志物的有效检......

应用|共聚焦拉曼光谱在半导体材料分析中的应用:以Mg₂Si/bSi异质结构为例

01背景介绍共聚焦拉曼光谱技术是一种基于激光散射效应的非破坏性分析手段,通过探测材料中分子键的振动模式,提供化学成分、晶体结构及应力分布等信息。其核心原理为:1.激光激发:单色激光(如473nm)聚焦......

瑞金医院开创无创血糖检测技术拉曼光谱重大突破

2025年2月5日,上海交通大学医学院附属瑞金医院国家内分泌代谢病临床研究中心王卫庆教授团队与瑞金医院医学芯片研究所及上海近观科技的陈昌研究员团队合作在《自然代谢》(NatureMetabolism)......

我国学者实现亿级原子生物分子拉曼光谱量子力学模拟

图在国产超算上实现包含亿级原子的生物分子体系的拉曼光谱量子力学模拟在国家自然科学基金项目(批准号:T2222026)等资助下,中国科学技术大学精准智能化学重点实验室商红慧教授、杨金龙教授团队与中国科学......

我国学者实现亿级原子生物分子拉曼光谱量子力学模拟

图在国产超算上实现包含亿级原子的生物分子体系的拉曼光谱量子力学模拟在国家自然科学基金项目(批准号:T2222026)等资助下,中国科学技术大学精准智能化学重点实验室商红慧教授、杨金龙教授团队与中国科学......