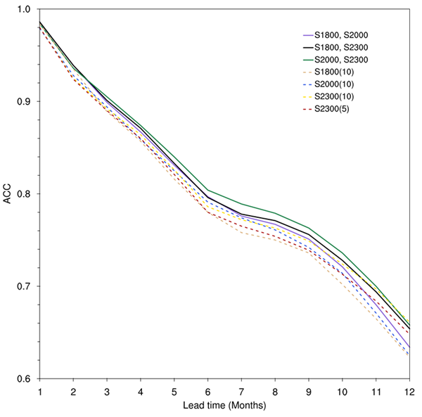
厄尔尼诺-南方涛动(ENSO)是热带地区最重要年际气候信号之一,对大气环流和降水具有全球性的影响,准确的季节性ENSO预报有助于预报相关的气象灾害。目前,依赖于数值模式的多初值集合预报、多模式集合预报、多模式参数集合预报等是常用的提高ENSO预报技巧的集合方法。

近日,中国科学院大气物理研究所季风系统研究中心模式预测团队最新提出了另一种有效提高ENSO预报技巧的集合方法——多初始化参数集合(multiple initialization parameter ensemble, MIPE)。该方法通过调整模式在生成预报初始场中的参数,SST nudging的强度,以生成多组不同的预报初始场。研究进一步使用大气所季风系统研究中心(CMSR)发展的全球海气耦合模式ICMv2利用多组预报初始场进行ENSO预测,发现在提前1到10个月的ENSO预报上多初始化参数集合(MIPE)方案比单一初始化参数的多初值集合(single initialization parameter ensemble, SIPE)有更好的预报技巧。该研究为提高ENSO预报技巧提供了一种新的集合策略,并能有效节约计算资源。
该成果发表在Journal of Advances in Modeling Earth Systems。以上研究得到国家自然科学基金(41722504, 41575088 and 41530426)、海洋公益性行业专项(201505013)、中科院青年创新促进会的共同资助。
近日,中国科学院南海海洋研究所研究员王春在团队联合中山大学大气科学学院教授杨崧研究了太平洋经向模态(PMM)的位相非对称性及其对厄尔尼诺-南方涛动(ENSO)的影响。相关研究发表于《地球物理研究通讯》......
ENSO激发的太平洋-北美及南美型遥相关(简称ENSO遥相关)是影响热带外的重要桥梁。这一途径使热带变率ENSO可导致南北半球中高纬地区的极端天气气候事件。在全球变暖背景下,ENSO遥相关会如何变化?......
近日,中国科学院南海海洋研究所热带海洋环境国家重点实验室(LTO)研究证明了太平洋经向模态的强度及其对ENSO(厄尔尼诺-南方涛动)的影响将在气候变暖背景下持续增强。相关研究发表于《气候杂志》(Jou......
2021年,IPCC(政府间气候变化专门委员会)第六次评估报告《气候变化2021:自然科学基础》评估了厄尔尼诺—南方涛动未来可能的变化。报告指出,厄尔尼诺-南方涛动降雨变率在21世纪下半叶增强的可能性......
近日,《地球物理研究杂志:海洋》(JournalofGeophysicalResearch:Oceans)在线发表了中国科学院院士、中科院海洋研究所研究员胡敦欣团队的最新研究成果Seasonaland......
厄尔尼诺-南方涛动(ENSO)是热带地区最重要年际气候信号之一,对大气环流和降水具有全球性的影响,准确的季节性ENSO预报有助于预报相关的气象灾害。目前,依赖于数值模式的多初值集合预报、多模式集合预报......
以往的研究表明大西洋充当着太平洋海温变率和平均态的起搏器。北大西洋年代际振荡(AMO)通过沃克环流、波列和表面风触发厄尔尼诺-南方涛动(ENSO)现象的产生。AMO引起的北大西洋海温异常也可以导致北大......
干旱已导致了许多环境和社会问题,因此在人口众多的亚洲季风区,历史水文气候变化以及其可能的驱动机制研究已经被越来越重视。我国华北平原近几十年来降水量持续偏少,而温度持续升高,已经被认为是世界上严重缺水的......