发布时间:2018-06-30 16:14 原文链接: TEM透射电镜衍射斑点标定第三步

比对数据库


将我们之前计算的d1、d2、d3,<R1,R2>、<R2,R3>、<R1,R3>拿到数据库中比对,如果误差较小就挑选出来,挑出来晶面指数还要满足另外一个条件,就是R3=R1+R2,矢量的加法法则。如果能够从数据库里面找到这样的晶面指数满足了以上所有条件,那么恭喜你,你已经可以标定你的衍射斑点图了。






标定是终于完成了,可是大家一定会觉得相当不轻松,计算量大到万万想不到。不过,标定的原理就是这样的过程,而实际我们在标定的过程总会通过已有的数据来简化一部分计算。


PDF卡片上已经将部分晶面指数对应的晶面间距列举出来了,相当于一个小型数据库。你算出来的d值在里面查找就好了,运气好的话很可能就找到了接近d值的指数。


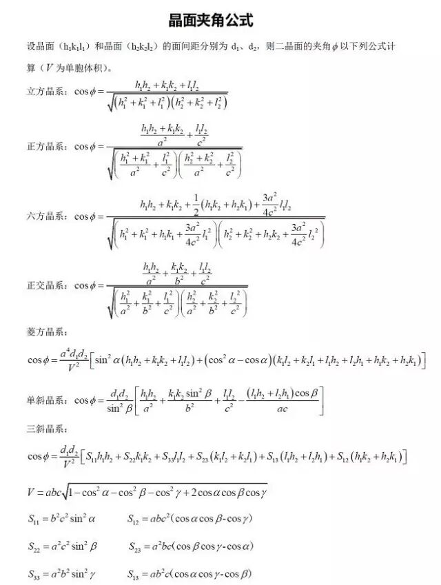
此后,将你挑选出来的指数代入公式进行晶面夹角计算(文末附有所有类型的晶体的晶面间距公式和晶面夹角公式)。


接下来就是根据夹角条件和矢量加法条件再进行筛选。这样也完成了衍射斑点的标定过程。计算量减少了不少,不过工作量还是不少!


总结一下,衍射斑点标定的过程就是这三步,1通过图片计算出晶面数据,2找到相应的数据库,3进行比对,把符合条件的指数标定在图片上。


在标定过程中会用到很多晶体学公式,我们列举如下:




相关文章

研究人员提出实现标定微米线振动方向的新方案

中科院强磁场科学中心薛飞研究团队提出利用微透镜光纤干涉仪探测微米线机械振子振动模式的新方案。相关成果分别以Measuringtheorientationoftheflexuralvibrationso......

TEM透射电镜衍射斑点怎么标定

怎样标定这是一个大问题,可以先从宏观上对这个问题进行把握。打一个简单的比方,警察要查找犯罪嫌疑人是谁,在犯罪现场找到了作案者的小拇指指纹,要查到此人的信息就需要将该小拇指指纹拿到公安局的数据库中进行比......

TEM透射电镜衍射斑点标定目的

1、提高格调提高格调是很容易理解的,因为凡涉是比较有档次的研究,TEM可谓是必不可少,目前的文章要是少了透射实验品质会降低不少,审稿人也没有兴趣,这样的情况下要想引起业界关注怕也是也不太容易。当然,这......

验证TEM标定的正确性

确定h1k1l1、h2k2l2和h3k3l3后还需要用晶面间的夹角验证标定的正确性。例如,在底片上测得h2k2l2和h3k3l3之间的夹角α为31.5度,理论计算(011)和(111)之间的夹角为31......

通用单晶电子衍射花样的标定步骤

通用单晶电子衍射花样的标定步骤测量衍射花样上透射斑到衍射斑的三个最短距离R1、R2、R3及其之间的夹角:根据公式,d=R/(L×电子波长),其中L是相机常数,底片上写着,单位是cm,电子波长一般的电镜......

TEM透射电镜衍射斑点标定第三步

比对数据库将我们之前计算的d1、d2、d3,<R1,R2>、<R2,R3>、<R1,R3>拿到数据库中比对,如果误差较小就挑选出来,挑出来晶面指数还要满足另外一个条......

TEM透射电镜衍射斑点标定第二步

获取物相数据库现在我们终于进行到第二步了。我们先以Al为例来说明如何获得晶面数据库。通过查找PDF中Al的点阵参数,我们得到Al是面心立方晶体,6个点阵参数是a=0.4049nm,b=0.4049nm......

TEM透射电镜衍射斑点怎么标定

这是一个大问题,可以先从宏观上对这个问题进行把握。打一个简单的比方,警察要查找犯罪嫌疑人是谁,在犯罪现场找到了作案者的小拇指指纹,要查到此人的信息就需要将该小拇指指纹拿到公安局的数据库中进行比对,一旦......

实验室应该这样配制和标定标准溶液……

1自行配制的标准溶液必须具备8个基本要求1.1应采用具有高纯度的溶质或基准物质(如金属、金属氧化物或金属化合物;酸、碱、金属有机化合物、适宜的盐类、有机溶剂等)。1.2为确保配制标准溶液的可靠性、准确......

食品分析标准溶液标定记录表

标准溶液标定溶液名称标定方法基准试剂基准数量标定温度标定日期......