发布时间:2018-06-30 16:13 原文链接: TEM透射电镜衍射斑点标定第二步

获取物相数据库


现在我们终于进行到第二步了。我们先以Al为例来说明如何获得晶面数据库。


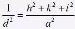
通过查找PDF中Al的点阵参数,我们得到Al是面心立方晶体,6个点阵参数是a=0.4049nm,b=0.4049nm,c=0.4049nm,α=90°,β=90°,γ=90°。所有Al的晶面数据库都是通过这6个参数计算得到的,即晶面指数所对应(h,k,l)的晶面间距。


因为大多数是低指数的衍射斑点,所以-5≤h≤5、-5≤k≤5、-5≤l≤5,且通常取整数。这个数据库是不是瞬间变得非常大了,也就是(h,k,l)组合有11×11×11=1331种。莫要慌,这次你还得静下心来慢慢计算。立方晶系的晶面间距计算公式为:




通常计算出来的结果会是:



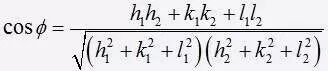
这个数据库有1331条。然后,注意是然后,再计算每两个晶面之间的夹角。立方晶系夹角的计算公式为:




这有多少个组合呢?相信大家都学过排列组合,两两组合是C21331= 8851115,现在这个数据库有多大了看明白了吧。



相关文章

研究人员提出实现标定微米线振动方向的新方案

中科院强磁场科学中心薛飞研究团队提出利用微透镜光纤干涉仪探测微米线机械振子振动模式的新方案。相关成果分别以Measuringtheorientationoftheflexuralvibrationso......

TEM透射电镜衍射斑点怎么标定

怎样标定这是一个大问题,可以先从宏观上对这个问题进行把握。打一个简单的比方,警察要查找犯罪嫌疑人是谁,在犯罪现场找到了作案者的小拇指指纹,要查到此人的信息就需要将该小拇指指纹拿到公安局的数据库中进行比......

TEM透射电镜衍射斑点标定目的

1、提高格调提高格调是很容易理解的,因为凡涉是比较有档次的研究,TEM可谓是必不可少,目前的文章要是少了透射实验品质会降低不少,审稿人也没有兴趣,这样的情况下要想引起业界关注怕也是也不太容易。当然,这......

验证TEM标定的正确性

确定h1k1l1、h2k2l2和h3k3l3后还需要用晶面间的夹角验证标定的正确性。例如,在底片上测得h2k2l2和h3k3l3之间的夹角α为31.5度,理论计算(011)和(111)之间的夹角为31......

通用单晶电子衍射花样的标定步骤

通用单晶电子衍射花样的标定步骤测量衍射花样上透射斑到衍射斑的三个最短距离R1、R2、R3及其之间的夹角:根据公式,d=R/(L×电子波长),其中L是相机常数,底片上写着,单位是cm,电子波长一般的电镜......

TEM透射电镜衍射斑点标定第三步

比对数据库将我们之前计算的d1、d2、d3,<R1,R2>、<R2,R3>、<R1,R3>拿到数据库中比对,如果误差较小就挑选出来,挑出来晶面指数还要满足另外一个条......

TEM透射电镜衍射斑点标定第二步

获取物相数据库现在我们终于进行到第二步了。我们先以Al为例来说明如何获得晶面数据库。通过查找PDF中Al的点阵参数,我们得到Al是面心立方晶体,6个点阵参数是a=0.4049nm,b=0.4049nm......

TEM透射电镜衍射斑点怎么标定

这是一个大问题,可以先从宏观上对这个问题进行把握。打一个简单的比方,警察要查找犯罪嫌疑人是谁,在犯罪现场找到了作案者的小拇指指纹,要查到此人的信息就需要将该小拇指指纹拿到公安局的数据库中进行比对,一旦......

实验室应该这样配制和标定标准溶液……

1自行配制的标准溶液必须具备8个基本要求1.1应采用具有高纯度的溶质或基准物质(如金属、金属氧化物或金属化合物;酸、碱、金属有机化合物、适宜的盐类、有机溶剂等)。1.2为确保配制标准溶液的可靠性、准确......

食品分析标准溶液标定记录表

标准溶液标定溶液名称标定方法基准试剂基准数量标定温度标定日期......